-
图文详情
-
产品属性
-
相关推荐
羧甲纤维素钠高速高剪切分散乳化机,微晶纤维素医药辅料助悬剂高速高剪切分散乳化机,医用混悬液高速高剪切分散乳化机
微晶纤维素羧甲纤维素钠是一种常用的化学品,具有广泛的应用域。微晶纤维素羧甲纤维素钠是一种具有草酸盐结构的化学品,其分子结构中含有羧甲基和纤维素基团。这种化合物具有很高的纤维度,使其在许多域得到广泛应用。
微晶纤维素羧甲纤维素钠在制药域具有重要作用。它可以作为药物的载体,通过微晶纤维素的纤维度和羧甲基的功能团,在药物输送中起到稳定和控释的作用。此外,微晶纤维素羧甲纤维素钠还可以用于制备药物的微胶囊,提高药物的稳定性和溶解度。
料稳定性理论
大部分的浆料都是属于悬浮液体系。不稳定的悬浮液在静止状态下发生絮凝,并由于重力作用而很快分层,分散的目的就是要在产品的有效期内抗絮凝、防止分层,维持悬浮颗粒的均匀分布,提高产品的稳定性。
悬浮液的絮凝理论
絮凝作用即是在静态(由于布朗运动)或动态(在剪切力作用下条件下,通过颗粒碰撞引起颗粒数目减少的过程。胶体系统中,如不考虑稳定剂,颗粒间的相互作用主要有范德华(Vander Waals)引力;伴随着带电颗粒的库仑(Coulombic)力(斥力或引力)。这些力的起因截然不同,Derjaguin和Landau在苏联,Verwey和Overbeek在荷兰分别独立的提出 DLVO理论,构成了亲液分散体系中絮凝作用经典理论的基础,阐述了胶体悬浮体系的稳定性主要与胶体颗粒间上述两个独立的相互作用的相对距离有关。悬浮液的分层理论
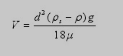
分层是分散相在外力(重力或离心力)作用下,在连续相中上浮或下沉的结果。在忽略布朗运动效应的静态条件下,可用Stokes定律来描述,即分散相球形颗粒由于重力的沉降速度V由下式确定:

式中:ps-p为分散相与连续相的密度差,g为重力加速度,d为分散相颗粒直径,u为连续相的粘度。如果分散相颗粒的密度比连续相密度大,颗粒下沉,速度V为正值,反之,颗粒上浮,速度为负值。沉降速度大,浆料就容易分层。如果要保持体系稳定,就必须降低沉降速度,对于特定的浆料可以通过减小分散相固体颗粒直径d。因为只有当粒径减至连续相液体分子大小时,颗粒才能稳定、均匀地分散在液体中不发生分离。
通过以上的分析我们可以看出,要提高悬浮液的稳定性,分散相颗粒的粒径应尽量细小。但应该指出,根据人所做的大量研究发现,随着颗粒粒度的减小,虽然颗粒由重力引起的分离作用变为次要的因素,但是由于颗粒之间的间距减小,颗粒之间的结合力(范德华力等)起到了重要决定性作用。另外,当颗粒直径小于某一细小尺寸时,此时,颗粒的布朗运动效应就不能忽略了,所以由于细小颗粒的布朗运动,而使得颗粒之间产生激烈地碰撞。若不加稳定剂,这些情况都会导致颗粒团聚,对体系的稳定是不利的。所以浆料的分散中,颗粒粒径并非越细越好,要视浆料的特性而定。分散就是要根据物料的特性与特点,减小分散相颗粒的粒度,使其分布于一个较窄的尺寸范围,并达到吸力与斥力的相互平衡,从而保证浆料体系的稳定。团聚与分散的关系
浆料的团聚是指原生的微细颗粒在制备、分散及存放过程中,相互连接、由多个颗粒形成较大的颗粒团簇的现象。
微晶纤维素医药辅料助悬剂高速高剪切分散乳化机,羧甲纤维素钠高速高剪切分散乳化机,医用混悬液高速高剪切分散乳化机
制造商
全新
德国
电议
4kw






