
GITT方法测量锂离子电池活性物质的Li扩散系数
发布时间:2018/10/25 18:55:00GITT方法测量锂离子电池活性物质的Li扩散系数

Li+在活性物质内的扩散是一个重要的反应过程,也是锂离子电池内部化学反应的限制环节,因此Li+扩散系数是锂离子电池活性物质重要的一个参数,扩散系数对锂离子电池倍率性能有着重要的意义,恒电流间歇滴定法(GITT)是一种重要的扩散系数测定方法。
GITT方法假设扩散过程主要发生在固相材料的表层,GITT方法主要有两个部分组成,其中部分为小电流恒流脉冲放电,为了满足扩散过程仅发生在表层的假设,恒流脉冲放电的时间t要比较短,需要满足t<<L2/D,其中L为材料的特征长度,D为材料的扩散系数;第二部分为长时间的静置,以让Li+在活性物质内部充分扩散达到平衡状态。
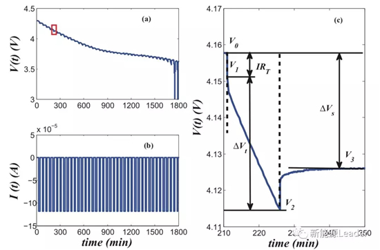
下图为一个典型的GITT测量扩散系数的过程,采用的电池为1.2mAh的扣式电池,正极材料为NCM,测试前首先将电池充电到100%SoC,然后按照0.1C放电15min,然后静置30min,每次放电大约相当于2.5%的SoC,因此总计能够进行40次循环,由于金属Li负极对于电池电压变化的影响非常小,因此测试过程中的电压变化主要来自于NCM材料,也就是说采用该方法得到的扩散系数主要反应正极材料NCM的扩散系数。

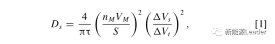
完成了测试后我们就需要利用上面得到的数据对NCM材料的扩散系数进行计算,这其中我们主要关心4个电压数据,一个是脉冲放电之前的电压 V0;一个是恒流放电瞬间电压V1,V0与V1之间的差值主要反应的是电池内部的欧姆阻抗和电荷转移阻抗等对电压变化的影响;一个是恒流放电结束时的电压V2,主要是由于Li+扩散进入到NCM材料内部引起的电压变化;一个是在静置后期的电压V3,这主要是Li+在活性物质内部进行再扩散,最终达到稳态导致的活性物质的电压变化。根据上面得到的数据,以及费克第二定律我们可以采用下面所示的公式进行计算Li+在锂离子电池内的扩散系数。

上式中nM为摩尔数量,VM为摩尔体积,S为界面面积,t为放电脉冲持续时间,如果我们假设NCM颗粒为刚性小球,半径为Rs则上式可以转化为下式2。但是从下式我们也能够注意到一些问题,例如对于具有非常平坦电压平台的材料例如LTO、LFP和石墨等材料,在电压平台范围内由于Vs变化非常小,接近于0,因此导致最终Ds的值也接近于0,这显然是不准确的。为了解决这一问题,美国宾夕法尼亚州立大学的Zheng Shen(作者)和Chao-Yang Wang(通讯作者)通过二乘法对GITT测试结果进行优化处理,从而大幅提升了GITT测试的准确性。

下图为扣式半电池的模型,正极为球形的NCM材料,负极为金属Li,在该半电池中的阻抗模型如下式所示,公式中参数的意义如下表所示



下图展示了根据本文开始的张图片所展示的测试数据,采用二乘法的LS-GITT方法与普通GITT法测试得到的锂离子材料固体扩散系数(下图a)与误差(下图b),其中NCM材料的颗粒半径Rs=5.3um,从下图a中能够看到两种分析方法得到的Ds基本都在10-10-10-11cm2/s之间(SoC>10%),这与文献报道基本上一致,但是能够看到采用LS-GITT(实心数据点)方法得到的数据波动要更加小一点,从下图b中的误差分析中能够看到LS-GITT方法(实心数据点)的误差要显著小于普通GITT方法(空心数据点),在大多数SoC范围内(60%-100%)LS-GITT的准确度都要比GITT高一个数量级,传统的GITT方法在SoC为20-60%的范围内比较准确,一旦超出这个范围后则准确度明显下降,而经过优化后的LS-GITT方法则在15%-100%的范围准确度都非常高。

之所以GITT的准确度低于LS-GITT主要是因为GITT方法认为活性物质主要是表面扩散而忽略了活性物质颗粒内部的容量,我们以NCM材料为例,L2/D大约为5000s,而放电脉冲时间为900s,虽然小于5000s,但是不满足远小于的条件,因此实际上得到的电压变化数值不仅仅包含表面扩散的数值,还包含体现SoC变化导致的电压变化,因此导致了采用传统的GITT方法得到的扩散常数偏大。虽然理论上我们可以通过降低脉冲放电时间的方法提高GITT的,但是非常不幸的是随着脉冲时间的变小,Vs的变化将变小,又会导致测量降低,噪声增加,同样会引起最终得到的扩散常数D误差增加。
针对传统的GITT法存在的一些问题和不足,ZhengShen通过引入二乘法,克服了GITT法在某些SoC范围内准确度不够的问题,显著提升了在大多数SoC范围内恒电流间歇滴定法的计算度,对于活性物质中Li+扩散系数的测定具有重要的意义。