
锂电池极片机械性能测试方法汇总
发布时间:2018/10/17 20:59:00锂电池极片机械性能测试方法汇总

锂离子电池极片是一种由电极涂层和集流体箔材组成的三层结构复合材料,即颗粒组成的涂层,均匀的涂敷在金属集流体两侧,主要由四部分组成:
(1)活性物质颗粒;
(2)导电剂和黏结剂相互混合的组成相(碳胶相);
(3)孔隙,填满电解液;
(4)金属箔材集流体。
极片的机械稳定性对电池有重要影响,特别像硅基负极,在充电/放电周期内插入和脱出锂时,体积变化达到270%,循环寿命差。这个体积膨胀会导致硅颗粒的粉碎,以及涂层从铜集流体中分离。
用来确定活性物质涂层预期使用寿命和性能的重要方法是检查涂层结合强度,涂层失效情况的分析。涂层失效包括涂层从基材的剥离,这种剥离可能是因为机械或热应力、电化学应力等原因引起。涂层材料的剥离可以表现为多种不同的方式:开裂、脱层、散裂、碎裂或塑性变形等。检查涂层附着力和涂层失效分析需要采用可靠实用的方法来定量说明涂层-基材之间的附着强度和表征失效机理,是用于预防或制止附着失效的重要信息。理解这些知识有助于提高整体涂层的质量和性能。
实际附着力是将涂层从基材分离所需要施加的载荷。实际附着力可能会受到许多因素,如涂层厚度、基材的粗糙度、涂层的机械性能和基材的表面化学结果的影响。实际附着力的测定结果也可能受试验方法的影响。最常用的方法包括剥离试验、弯曲试验、划痕试验和压痕试验。
本文简单汇总介绍锂电池极片机械性能测试方法,由于个人水平有限,文中错误之处欢迎批评指正,也欢迎大家留言补充。
1、纳米压痕
纳米压痕技术也称深度敏感压痕技术(Depth-SensingIndentation,DSI),是最简单的测试材料力学性质的方法之一,可以在纳米尺度上测量材料的各种力学性质,如载荷-位移曲线、弹性模量、硬度、断裂韧性、应变硬化效应、粘弹性或蠕变行为等。以下视频为纳米压痕基本原理介绍。

图1 (a)纳米压痕测试示意图;(b,c)负极极片压痕扫描照片
图1是纳米压痕测试原理示意图以及锂离子电池负极极片压痕的扫描照片,测试时,对压头施加载荷P,压头压入样品中,卸载后在样品表面留下压痕。图2是纳米压痕试验中典型的载荷-位移曲线。在加载过程中试样表面首先发生的是弹性变形,随着载荷进一步提高,塑性变形开始出现并逐步增大;卸载过程主要是弹性变形恢复的过程,而塑性变形最终使得样品表面形成了压痕。图中hc是接触深度,ht是载荷时的位移,ε是与压头有关的仪器参数。由图2可知,载荷从0逐渐增加到载荷30mN,随后载荷基本成直线下降,此时该直线的斜率即为该试样的接触刚度S。通过测量压入载荷P、压痕表面积A以及接触刚度S就可以计算得到硬度H和弹性模量E。

图2 纳米压痕测试中典型的载荷-位移曲线
图3是锂离子电池(a)正极和(b)负极多次纳米压痕测试载荷-位移曲线,以及(a)正极和(b)负极不同压入深度测试对应的弹性模量。研究表明,涂层内部的微观结构和内应力是造成涂层厚度不同时涂层弹性模量变化的主要原因,制备涂层时,涂层越厚、致密度越高、内应力越大,导致测试的涂层的弹性模量就越大。当压入深度很小时,特别是试样表面粗糙时,就会产生明显的表面效应。这主要是由表面粗糙度所引起的,主要表现为刚开始测试时数据不真实和分散。为尽可能地减少表面粗糙度所带来的影响,建议压入深度不小于某一直,以保证表面粗糙度引起的压入深度的不确定度比较小。

图3 锂离子电池(a)正极和(b)负极多次纳米压痕测试载荷-位移曲线,以及(a)正极和(b)负极不同压入深度测试对应的弹性模量
2、拉伸测试
拉伸试验是指在承受轴向拉伸载荷下测定材料特性的试验方法。利用拉伸试验得到的数据可以确定材料的弹性极限、伸长率、弹性模量、比例极限、面积缩减量、拉伸强度、屈服点、屈服强度和其它拉伸性能指标。
图4是应用于锂离子电池极片的拉伸测试样品规格及简易拉伸测试夹具。

图4 锂离子电池极片拉伸测试样品规格及简易拉伸测试夹具
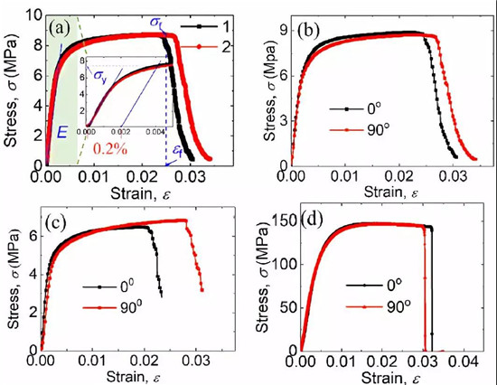
图5是锂离子电池的负极、正极和铝箔拉伸测试的应力-应变曲线,与金属材料的典型应力-应变曲线类似,一般分为以下几个阶段:
1)弹性阶段:应力应变基本上呈线性关系。卸载后还可以恢复到原来的长度。曲线在形变达到0.2%的点称屈服点,对应的强度为屈服强度,此时可以计算出弹性模量E,即曲线的斜率。
2)屈服阶段:应力基本保持不变,而应变有显著增加。
3)强化阶段:这个阶段是塑性硬化阶段,电池极片没有观察到这个阶段。在f点对应的应力峰值为抗拉强度。
4)局部变形阶段:此时样品会发生缩颈现象,直至断裂。

图5 锂离子电池的(a,b)负极、(c)正极和(d)铝箔拉伸测试应力-应变曲线
极片拉伸断裂过程如图6所示。

图6 极片拉伸断裂过程示意图
图7是锂离子电池的(a)负极和(c)正极拉伸测试的应力-应变曲线,根据这些测试数据推断锂离子电池极片的本构关系,并将这些极片的拟合模型应用于锂离子电池的模拟计算中,研究电池的机械性能。

图7 锂离子电池的(a)负极和(c)正极拉伸应力-应变曲线,以及极片本构关系的模型拟合
3、压缩测试
在金属材料的力学性能测试中,拉伸试验中定义的力学性能指标和相应的计算公式,在压缩试验中基本上都适用。但是,对试样施加单轴压缩载荷时,其应力状态软性系数明显大于拉伸状态,使得有些在拉伸试验中显示脆性断裂的材料(如灰铸铁、陶瓷、非晶合金等),在压缩试验中有可能会显示一定的塑性变形,或显示较高的强度。因此,在研究脆性材料的变形和断裂行为时往往采用压缩试验,同时测量其强度和塑性。
在研究锂离子电池极片本构关系模型时,为了更全面地认识极片的力学性能,在对极片做拉伸的同时,也常常对极片做压缩测试,图8是锂离子电池的(a)负极和(c)正极压缩测试的应力-应变曲线,以及极片本构关系的模型拟合。根据极片的拉伸和压缩实验测试数据构筑极片的本构模型,再将模型应用于研究电池组装工艺中的极片断裂行为,实验和模拟对比结果如图9所示。

图8 锂离子电池的(a)负极和(c)正极压缩测试应力-应变曲线,以及极片本构关系的模型拟合

图9 电池组装工艺中极片断裂行为的实验和模拟研究
4、弯折测试
弯曲试验时试样表面应力,可以灵敏地反应材料表面缺陷,常用于研究表面强化工艺及表面性能。图9给出了常见的三点弯曲试验的加载及记录的载荷挠度曲线示意图,图中虚线对应的应力值即为材料的抗弯强度(flexural strength or bend strength)。

图10 弯曲试验加载及记录的载荷挠度曲线示意图
5、剥离测试
涂层剥离强度是指涂层与基体之间单位面积涂层从基体材料结合面上剥落下来所需要的力。它是检测涂层性能非常重要的一个指标。若结合强度过小,轻则会引起涂层寿命降低,产生早期失效,重则造成涂层局部起皮、剥落无法使用。
涂层拉伸强度是涂层承受法向拉伸应力的极限能力,这是评定涂层结合强度的最重要指标。试验中利用试验工具或设备使试样承受垂直于涂层表面的拉伸力,直至试样被拉开,即涂层剥离,记下破坏时的载荷,以试样的断面积除载荷值,即可求出涂层的拉伸强度。
.一般测试方法,将极片分条,压敏3M-VHB双面胶贴在电极表面,另一面贴在不锈钢板上,将不锈钢板和集流体固定在拉伸设备的两个夹具上,然后以一定的速度拉伸样品,进行180度剥离测试,当铝集流体被完全剥离下来时检测到的力就是剥离力,测试原理如图11所示。

图11 涂层剥离强度测试示意图
采用微机控制电子试验机可进行拉伸试验、压缩试验、剥离试验、撕裂试验以及剪切与弯曲试验等。
6、划痕测试
图12划痕试验仪的一般操作示意图。在进行划痕试验期间,由金刚石或其它硬质材料制成的划针沿涂层表面线性划线,同时施加恒定或者逐渐增加的载荷。其结果是,划针划入涂层,到达涂层界面或穿过涂层到达基材界面。涂层和基材体系会产生内聚和附着失效。检查直接从划痕试验以及划痕后显微分析获得的数据可得到有关涂层本身和涂层–基材体系的有用信息。
图13是两种不同工艺的硅基负极在不同载荷作用下划痕扫描电镜照片,通过研究划痕测试实验数据,可以比较负极极片的机械稳定性,推断电池的循环寿命和性能。

图12 划痕试验仪的一般操作示意图

图13 两种不同工艺的硅基负极在不同载荷作用下划痕扫描电镜照片