
石墨烯在电化学储能过程中的理论应用
发布时间:2017/8/8 23:10:00石墨烯在电化学储能过程中的理论应用

石墨烯由于具有二维平面几何特征和独特的电子行为被广泛用于电化学储能研究领域,改善诸如超级电容器、锂离子电池的输出性能和提高氧还原过程(ORR)电催化活性。目前文献中大量实验结果报道也证实了石墨烯对不同储能领域场合的作用。同时,研究者们也进行了大量的理论计算,从原子和电子的层次对石墨烯的作用机制进行解释。小编将带领大家一起,了解目前石墨烯在电化学过程中的理论计算结果,以超级电容器、锂离子电池和ORR过程为典型代表,学习重要结论,加深对石墨烯功能的理解,也为新型石墨烯基电化学储能器件提供研究思路。
石墨烯电化学储能的基本理论
从电化学角度来讲,石墨烯在储能器件中所起的作用主要有四种:一种是石墨烯不参与电化学反应,仅仅通过与电解液形成双电层作用来存储电荷,提高电容效果,这种情况主要出现在超级电容器中;另一种则是与活性物质发生电化学反应,通过电子转移而产生法拉第电流,并为电化学反应的生成物提供存储场所,如锂离子电池等,或者虽然不发生电化学反应,但是可以通过与生成物相互作用而将其固定,同样提供存储场所,如锂硫电池;同时,石墨烯还可以为电化学反应提供催化效果,降低电化学反应所需的能量势垒,如ORR等;还有一种则是利用自身导电性提高电极的电导率,降低充放电过程中的欧姆电阻。本文主要围绕前面三种作用展开。
石墨烯在储能体系中的电化学行为与其电子结构息息相关。正确认识其电子结构将是更好利用石墨烯材料的有效前提,并且也可以为具体应用领域中石墨烯材料的电子结构调整提供指导思路。
石墨烯电子结构特征
1. 石墨烯及其缺陷类型
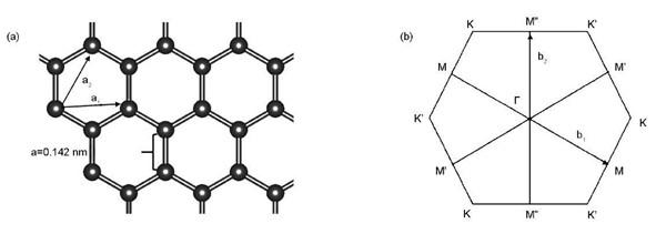
石墨烯属于由双原子基点组成的三角布拉维点阵。由于相邻的两个碳原子位置不等同,石墨烯晶格可以分为两个亚点阵,每个亚点阵都是三角布拉维格子。相邻两个C原子的间距为0. 142 nm,键角为120°,与分子苯中的数值相同。平面内部C 原子通过三个σ相互相连,在垂直平面上碳原子的pz轨道形成离域的π键。图1给出了石墨烯的结构示意图。

图1 石墨烯的结构特征:(1)晶体结构;(2)布里渊区
布里渊区的三个高对称点是Τ, K 和M, 分别是六边形的中心、角和边的中心,见图1(2)。
石墨烯的能带结构非常特殊,在倒易空间的K /K’处出现线性色散,即此处附近石墨烯电子能量线性变化,同时此处电子态密度为零。完整石墨烯的费米能级与Dirac点重合,在费米能级附近成键的π态和反键的π*态双重简并。
在石墨烯实际制备过程中,往往难以得到完整的石墨烯,总是存在各种缺陷。同时为了改善石墨烯的电子结构,赋予其不同的化学性能,研究者也会对石墨烯晶格进行调整,引入部分缺陷或异原子。石墨烯上常见的缺陷为Stone-Wales(SW)缺陷、单空位(V1)缺陷、双空位(V2)缺陷和多原子缺陷,同时还会存在一维线形缺陷和晶界引起的缺陷等。
存在SW缺陷的石墨烯并没有丢失C原子,只是将某个C—C键旋转了90°,相邻的四个六边形变成两个五边形和两个七边形,所以此类缺陷也常称为55-77缺陷。该缺陷的形成能非常高,缺陷位置相对固定。
当石墨烯失去一个C原子后,会出现一个空位,产生V1缺陷。由于C原子的缺失,石墨烯上会出现三个具有未饱和悬挂键的C原子,此时石墨烯发生Jahn-Teller形变,其中两个C 原子相互靠近形成五边形,只留下一个悬挂键。从而出现一个5元环和一个9元环。该缺陷的形成能也非常高,但是其迁移能垒较低,在较低温度下就可以在石墨烯表面发生迁移。
当两个相邻的碳原子除去后,石墨烯上会出现V2缺陷。此时石墨烯上的4个6元环会变成两个5元环和一个8元环,即585-V2。该缺陷的形成能与单空位相当。
除了点缺陷之外,石墨烯内部还存在一维的线缺陷。一种是将不同取向的石墨烯微晶分开的晶界,通常由5元环、8元环组成。还有一种则是石墨烯的边缘。由于具有悬挂键,边缘结构式通常为armchair和zigzga取向。然而当这两种边缘有碳原子丢失时,边缘的六元环中间会产生五元环和七元环。
2. 原子掺杂
N 原子经常引入到石墨烯内部来调控其电子结构。N掺杂石墨烯可以通过含N 前驱体对石墨烯或者氧化石墨烯后处理得到缺陷点的存在会减少N掺杂的形成能,所以N在缺陷石墨烯的掺杂比完整石墨烯容易,在N 掺杂之前有意引入缺陷会提高掺杂效果。对于完整石墨烯,由于N原子之间存在排斥力,N 原子掺杂位置分布比较分散,但是当存在缺陷时,由于缺陷与N之间的吸引力,缺陷附近区域N的分布将会非常集中。
B原子也经常引入石墨烯来调整其电子结构。由于B比C缺少一个电子,掺B之后石墨烯费米能级向低能级方向移动,与Dirac点不再重合。此外,S、P等原子也用来掺杂改进石墨烯的电子结构。
图2给出了SW缺陷、V1和V2缺陷的具体结构。图3为完整石墨烯、585-V2 石墨烯、SW缺陷石墨烯和石墨化N石墨烯的电子能带图。

图2 不同种类石墨烯缺陷:(a)S-W缺陷;(b)V1缺陷;(c)585-V2缺陷;(d) 555777-V2 缺陷;(e) 555-6-777-V2缺陷

图3 不同类型石墨烯能带结构:(a)完整石墨烯;(b)585-V2缺陷;(c)S-W缺陷;(d)N 石墨烯
下面根据石墨烯在储能器件中所起的不同作用,分别从超级电容器、锂离子电池和ORR过程对目前的理论研究进展进行讨论。
超级电容器
完整的石墨烯量子电容非常小,在充电或放电过程中难以为电子提供足够的能态来存储电荷。为了提高石墨烯的量子电容,首先考虑到的是在石墨烯中引入缺陷结构,改善石墨烯在费米能级处的DOS。对于SW缺陷,由于费米能级处存在五元环和八元环碳原子上pz态组成的能带,该能带将会容纳额外的电子,进而提高石墨烯可聚集的电量。同时,由于存在pz准局域态,V2缺陷中缺陷附近的C原子也会容纳额外的电子。SW缺陷在作为负极时存储电荷非常有效,而V2缺陷则在作为正极时表现出良好的电荷存储行为。晶格中C原子被N和B替换后都会对量子电容产生影响,前者对正偏压范围内量子电容提高,后者则是对负偏压范围内量子电容提高。
同时,科学家还详细讨论了石墨烯的层数、应力和表面褶皱等局部结构对量子电容的影响。由于单层石墨烯带密度较低,难以有效屏蔽电极中产生的额外电荷,所以电压容易随电荷增加而迅速提高,电容效果较差。当石墨烯层数提高后,所能容纳的电荷数提高,量子电容相应提高。
图4为完整石墨烯、SW石墨烯、V1石墨烯、V2石墨烯、掺N石墨烯和掺B石墨烯量子电容的比较。当石墨烯在平面某个方向上尺度有会形成纳米带,此时电子结构特征与量子电容与完整石墨烯相比具有较大的变化。
过渡金属原子也会对石墨烯的电子结构产生影响,并在石墨烯的空位上产生较强的吸附作用。

图4 不同结构石墨烯量子电容:(a) 缺陷石墨烯;(b) N掺杂石墨烯;(c) N、B掺杂石墨烯
锂离子电池
锂离子电池的石墨烯理论研究主要集中在两个方面,首先是容量问题,涉及到Li 与石墨烯的相互作用,再就是Li 离子在石墨烯上的扩散问题,这与锂离子电池的倍率性能紧密相连,主要包括Li在石墨烯表面平行方向的扩散和穿过石墨烯表面的扩散。
1. 容量与相互作用能
(1) 完整石墨烯
Li 在完整石墨烯表面的相互作用研究表明,Li稳定存在于石墨烯的C六元环中间,组成环的六个碳原子都与Li产生相互作用,而Li 在两个碳原子的桥接位置和单个碳原子的顶端位置时的相互作用非常弱。Li与C六元环的相互作用具有离子键特征,电荷从Li向石墨烯转移,迁移的电子主要集中在Li和C六元环之间的区域,所以Li原子上面区域和石墨烯上C-C键上的电子减少。当Li 吸附在石墨烯表面时,石墨烯的电子结构有了一定的变化。由于Li的电子进入石墨烯的π*带,体系费米能级明显上移,进入导带,同时Li的2s态由于电荷转移位于高于费米能级的位置,此时石墨烯仍然有Dirac点,但是由于电荷从Li转移到了石墨烯,费米能级变得略高于狄拉克点。
科学家发现,Li与石墨烯的吸附能大于0,表明Li与完整石墨烯不会自动发生吸附作用,难以形成稳定化合物。而对于少层石墨烯,Li 则会与之自动发生反应。当Li进入少层石墨烯的层间时,Li与碳原子的相互作用受层间范德华力的影响,并且该影响随着Li含量变化而变化。计算结果表明,少层石墨烯存储Li的容量低于本体石墨。Li可以进入任何层数的少层石墨烯中,但是只能进入石墨烯层间,不能存在于少层石墨烯的表面。对于两层石墨烯,当含量低时Li具有非常强的插层作用。当石墨烯层数继续增加时,Li首先进入最外面的石墨烯层间,而不是中间的层间。随后Li根据石墨烯层数的不同而具有不同的嵌入行为,或进入同样的最外层间,或进入另一个最外层间或者进入内部层间。
另外,当采用Li在本体Li金属的状态作为参考态,考察了Li在石墨烯上的吸附行为。采用该参考态时,Li在石墨烯表面的吸附能为负值,说明可以发生吸附,但是容量仍然低于石墨。石墨烯上不同Li原子之间存在库伦排斥力,当Li的浓度很低时Li倾向于在石墨烯表面分散,故当浓度非常低时Li可以吸附在石墨烯上。但随着Li增多,Li原子之间由于相互吸引会形成团簇而与石墨烯发生相分离,所以石墨烯的容量比石墨低。作者分析了Li团簇在石墨烯的吸附,发现吸附到石墨烯上团簇的内聚能高于孤立团簇的内聚能,表明前者更为稳定。团聚进一步发展则会形成枝晶。
(2) 缺陷及杂化石墨烯
Li与带有缺陷的石墨烯的相互作用与完整石墨烯具有较大的差异。Li与585的V2 缺陷石墨烯作用时,由于Li电子的转移,V2石墨烯上费米能级附近原来近乎水平的能带由于部分被电子占据而能量降低。然而,费米能级仍然在Dirac 点下方。Li与SW缺陷的石墨烯作用时,费米能级升高超过Dirac点而进入导带,同时SW缺陷出现的那条近乎水平的能带也部分被占据。

图5 不同结构石墨烯与Li相互作用:(a)少层石墨烯; (b) Li与掺N石墨烯的态密度

图6 Li在缺陷石墨烯上电子差分密度图:(a, d)完整石墨烯;(b, e) V1缺陷;(c,f)V2缺陷
2. 扩散
在锂离子电池系统中,石墨烯除能够存储Li之外,还有一个重要的考察因素是石墨烯对Li离子扩散过程的影响,这直接影响锂离子电池的快速充放电行为。扩散过程包括两方面,Li在石墨烯表面上并以与表面平行的方向进行扩散,另外一种是穿过石墨烯平面,以与平面垂直的方向扩散。
计算表明,Li在完整石墨烯表面的扩散势垒是0. 32 eV,表明Li易沿着石墨烯表面扩散,利用石墨烯作为负极时往往具有良好的倍率性能。科学家的计算结果表明,当Li在完整石墨烯上沿着六元环中心顶部—C—C键中间六元环中心顶部路径扩散时,的能量阻碍在Li跨过C—C键的位置,能量势垒为0. 311 eV;沿着六元环中心顶部—C原子顶部六元环中心顶部扩散时,C原子顶点为能量壁垒,0. 337 eV。当Li在两层石墨烯的层间扩散时,同样具有较低的扩散能垒。
石墨烯的缺陷对Li在平行石墨烯平面方向的扩散行为具有重要影响。Li在585结构的V2缺陷中扩散时,由于缺陷产生的能量陷阱,Li很容易被固定在缺陷区域。该缺陷上的扩散阻碍为0. 17 eV,而V1的扩散阻碍则是0. 24 eV,都小于完整石墨烯(0. 311 eV),所以该能量陷阱可以很大程度上减小Li的扩散势能,进一步改善Li在石墨烯表面的扩散行为。
石墨烯内部经常出现晶界,尤其在通过CVD法制备的石墨烯中更是常见。晶界缺陷也会对石墨烯费米能级附近的电子态产生影响。科学家对此进行研究,结果为Li在石墨烯上最稳定的吸附位置在晶界上。以上缺陷结构对Li的吸附能力都优于完整石墨烯。Li原子在石墨烯在平行和垂直晶界的扩散行为结果表明,Li原子在晶界上的平行扩散能垒明显低于垂直晶界的扩散,说明Li原子很难横向穿过晶界而到另外一个微晶区域。
Li在石墨烯片层垂直方向的扩散行为也对锂离子电池的倍率性能产生重要的影响。Li透过完整石墨烯扩散时,由于库伦排斥力,能量势垒非常高,为9. 8 eV,所以Li难以通过六元环中心穿过完整石墨烯表面。当存在空位缺陷时,扩散阻碍降低。科学家结合实验和理论计算了Li在不同石墨烯上穿过时的能量势垒,分别为完整石墨烯为10. 2eV,SW 缺陷位6. 35 eV,V1 为8. 86 eV,V2-585为2. 36 eV。所以从V2缺陷开始,Li基本可以透过石墨烯片层发生扩散。


图7 Li离子扩散过程:(a)平行石墨烯表面;(b)平行石墨烯晶界;(c)透过石墨烯平面
ORR过程
燃料电池可以直接将化学能转变成电能,具有转化效率高,功率密度高和无污染的优点。O2还原反应是制约燃料电池发展的重要因素。该反应可以通过两种路径发生,是四电子过程,O2得到四个电子直接还原成H2O;第二是效率较低的两电子过程,O2转变为H2O2。由于利用效率高,四电子过程的催化剂研究非常重要。
石墨烯催化效果计算表明,O2分子与完整石墨烯片层的吸附能都非常小,二者的距离也较大,大于2. 6 ?。虽然O2分子与石墨烯形成弱的离子键,但是由于反应过程中后续步骤所需能量非常高,并且生成的OOH也难以吸附在完整石墨烯上,所以完整的石墨烯没有O2催化活性。由于N的电负性强于C,N周围的C原子带有正电荷,并且具有一定的自旋电荷。研究表明,当碳原子的自旋电荷密度或原子电荷密度高于0. 15时就会具有ORR的电化学活性。另外,科学家采用周期结构石墨烯模型详细探讨了完整石墨烯和掺N石墨烯上ORR过程,见图8,同时还计算了N石墨烯上N含量对ORR过程的影响,发现4% ~5%的N含量对于应用是比较合适的。

图8 ORR在(左)完整石墨烯和(右)N石墨烯上的反应过程
科学家使用团簇结构的石墨烯模型研究了含N石墨烯在酸性环境中对O2的催化机理。计算表明,OOH吸附在靠近吡啶结构N的C原子上,其中一个O与C原子相互作用,并且该C原子从石墨烯平面伸出。对于吡咯N,OOH同样会吸附在靠近N 的C原子上。当在OOH上进一步增加H后,吡啶N和吡咯N石墨烯上都会形成不稳定的HOOH,O—O键长增加,容易变成两个OH,所以在N石墨烯上的ORR是四电子过程。同时,作者提出自旋密度和电荷密度是决定催化效果的关键因素。尽管有的C电荷密度非常高,但是OOH更容易吸附在具有高自旋密度的C原子上。与电荷密度相比,自旋密度更能决定催化活性位,只有当自旋密度非常小时电荷密度才起作用。图9给出了所计算的掺N石墨烯上电荷密度和自旋密度分布。


图9 N掺杂石墨烯的(a)原子电荷密度和(b)自旋密度
Li-空气电池负极为Li,正极的空气电极通常为多孔炭,具有非常高的能量密度。外部的O2进入空气电极并吸附在多孔炭的表面,随后O2分解并与负极氧化得到的Li离子发生反应。科学家使用周期结构模型计算了Li-空气电池正极O2在N石墨烯表面的催化分解过程。O2分子靠近离石墨烯时,一个O原子位于N最邻近的C原子上面并向石墨烯平面倾斜,另外一个O位于C5N环的中心,O2不再平行,O—O键变弱。
除了在ORR反应中的催化作用,在O2析出反应中掺杂石墨烯也具有明显的电化学活性。理论计算表明,B掺杂的石墨烯由于缺电子,可以比完整石墨烯较强低吸附Li2O2,进而在较低能垒下活化Li—O键并将O2-氧化成O2。由于B掺杂的石墨烯可以在很大程度上降低决速步骤的能垒,可以有效提高锂空电池的电流密度。